728x90
SW Expert Academy
SW 프로그래밍 역량 강화에 도움이 되는 다양한 학습 컨텐츠를 확인하세요!
swexpertacademy.com

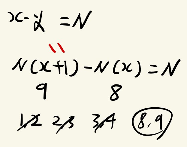
import java.util.Scanner;
class Solution {
public static void main(String[] args) {
Scanner sc = new Scanner(System.in);
int t = sc.nextInt();
for (int tc = 1; tc <= t; tc++) {
long n = sc.nextLong();
long x = 9*n;
long y = 8*n;
System.out.println("#"+tc+" "+x+" "+y);
}
}
}728x90
'SW Expert Academy > SWEA D3' 카테고리의 다른 글
| [SW Expert Academy] 직사각형과 점 (D3) (0) | 2024.10.03 |
|---|---|
| [SW Expert Academy] 화섭이의 정수 나열 (D3) (0) | 2024.10.03 |
| [SW Expert Academy] 화섭이의 정수 나열 (D3) (0) | 2024.10.02 |
| [SW Expert Academy] 북북서 (D3) (0) | 2024.10.02 |
| [SW Expert Academy] 상호의 배틀필드 (D3) (1) | 2024.10.02 |